Return Premium Policies
Policies sometimes will include a provision whereby on the occurrence of
certain specified contingencies the premiums paid in will be returned to
the payer. This privilege is usually added to policies to balance some objectionable
feature in the contract that militates against its ready sale. For instance,
much objection is found to the pure-endowment policy because of the possibility
of losing one's entire investment in case of death before the maturity of
the endowment. By means of this new feature the company can say: "We will
give you your endowment in case you outlive the period and if you are willing
to pay a slightly larger premium we can promise that in case of your death
before the endowment period is completed, all the premiums paid in will
be returned to your estate or to any specified beneficiary". These policies
sometimes promise the return of the exact premium paid and sometimes a specified
amount slightly less than the premium. For instance, if a certain pure endowment
costs $50 per year, the company might promise a return of $40 for every
premium paid to date of death. Suppose now a company issues a ten-year pure
endowment for $1,000 to a person aged 45. It was found on page 158 that
the net single premium for this policy is $647.69. The net annual premium
for the same policy will be found by dividing the above sum by the present
value of a temporary life annuity due of $1.00 limited to a term of ten
years, beginning at age 45, and this latter value can be found by adding
the first ten terms of the whole-life annuity due as computed on page 180.
This value is $8.33492701. If, therefore, the following computation is made,
neglecting unimportant decimals:
647.69/8.8349 = 77.71.
it is found that the net annual level premium for the ten-year pure endowment
is $77.71. Suppose furthermore that the company promises in event of the
death of the policy-holder before the ten-year period has elapsed to return
to his estate $70 for every premium paid. It is desired to find the extra
premium that must be paid to obtain this benefit. The benefit consists in
the return of a single $70 if the insured should die during the first year
after the contract is issued; if he should die during the second year he
gets twice $70; in the third year three times $70 and so on, his death between
the payment of his tenth premium and the time when the endowment would have
matured entitling his estate to a return of ten times $70 or $700. The chances
that any of these payments will be made therefore consist in the separate
chances or probabilities that he will die the first year, the second year
or the tenth year. It is equivalent to the addition to the pure endowment
of an increasing insurance of $70, i.e. an insurance of $70 the first year,
$140 the second year, etc. The method of computing the cost of this increasing
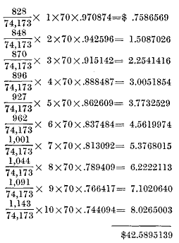
insurance is, therefore, as follows: The net single premium for an increasing
insurance of $70, American Experience 3 percent., age 45:

The net single premium for the return-premium feature, namely, $42.59,
will be divided by $8.3349 to ascertain the net annual level premium, as
follows:
42.59/8.3349 = $5.1097
This result, $5.11, is therefore the amount to be added to the net annual
level premium for the pure endowment, or $77.71, giving $82.82 as the net
premium for the pure endowment with the return premium feature included.
It would be possible now to compute the net annual premium which would
return the total or gross premium paid by the insured instead of some arbitrary
sum, as was used above, but this would involve processes more complicated
than it is desired here to discuss. The principles here developed are applicable
to any kind of policy, but the return-premium feature is ordinarily added
to policies only in cases where it may be balanced against some seemingly
objectionable characteristic whereby the insured apparently loses. Thus
any policy containing the pure-endowment provision and not having a corresponding
insurance element offers a good opportunity for the return-premium privilege.
Policies involving survivorship likewise make use of it. Cases in point
are the deferred annuity and the reversionary annuity.
|